Mathematics

Angry face

Mathematics regarding infinite series, hypergeometric function, gamma function, pi formula, universal constants by Cetin Hakimoglu-Brown

New Work:

Chart 2 Scalar Theory

The stock market equilibrium equation (for evenly distributed volume) is an attempt to develop a mathematical framework for describing how stocks trade by converting charts into scalar values from which information can be extracted by solving for various variables.

New misc sums:

using:


and



obtain

   

or you can taking multiple derivatives of the double sum with respect to z to get the same expression. Or take the first term of the double sum and take derivatives with respect to c and let z be zero.

GENERAL CLOSED FORM SUMS





Interestingly, a detailed proof shows the 2k+1 value in the numerator
is the only value permissible for the series to have a closed form sum.




note: for reasons that are not so obvious w must be positive and |z^2x/w^2| less than one.





This expression and the ones above can be used to generate infinite series for certain angles that cannot otherwise be expressed in terms of radicals

Such as:
9 & 18 (because 3 is a small prime it's easier to derive series than say 7 or 13) These are proven with the aid of pfaff & clausen transformation and Gauss' contiguous relations.
















(50 points for this)


(50 points)

Open question: Does there exist a hypergeometric expression for cos(pi/7) with 1/28 instead of 27/28?





13








The fast converging compound expressions involving 1/24 are hypergeometric representations of trigonometric identities. Without using the
quadratic & linear hypergeometric transformations the expressions above would be much harder to derive.



You can derive increasingly fast converging series by allowing the z term of the hypergeometric series be irrational, but
rationalvalues are more aesthetically pleasing.

Amazingly, series can be derived for sin(pi/13), but this is quite difficult
because it involves factoring a 12th degree polynomial into cubics whereas cos(2pi/13)
only requires a 6th degree equation.

After much labor you get:







This remarkable convergence improvement 2log(26) vs log(52/27) is possible because


BBP Formula arctan(1/3) and arctan (1/7)





Using the later identity and this arctangent relation obtain



The proof begins by finding the arctangent and Ln components for the expression below for g=(1,2,3,4,5,6,7)and solving various linear equations




Other stuff:

Gives pi to 25 places using a 6 degree hypergeometric transformation imposed on a quadratic transformation for a singular elliptic value:

Angry face

Gives pi to 18 places using a quadratic and quartic transform on an existing cubic identity to make a much faster infinite series, with the first term giving:

pi formula

Gives 62 digits of pi using a cubic modular identity and applying quadratic, cubic and quartic transformation:
pi formula

pi formula


The 24th degree hypergeometric transformation:


This was derived by imposing a quadratically transformed hypergeometric function onto two other quradratic transformations and then
imposing that result on a cubic transformation. Hence, 2x2x2x3 = 24 This cubic identity from mathworld was used :


When you let a=7/16 you can see how it begins to come together.

(50 points).... For b>0 and (-z)^(1/3)=-(z)^(1/3)




Then...


(50 points) Using the equation above to obtain:


(50 points) Stock market equations.The volume needed for a stock to fall a certain percent
can be estimated using the equation given in (1.1). Although there are an almost infinite number of possible variables that influence stocks prices
there are some rules that can be gleaned though observation of how stocks trade. For example, a heavily traded stock like CSCO or MSFT that has billions
of dollars of shares changing hands each day a single sell order of 1000 shares wouldn't move the stock much (maybe a penny).
For a more leightly traded stock a sell order of 1000 shares could make it fall a lot. These obvious rules are used to create equations
that model how stocks work. Consider an energy level as a function of average price
, total volume, and a third 'energy' constant for a time interval t0 to t1. If a stock or index is flat no energy is created.
If the stock makes an abrupt gain a high density energy value is created. Or if it rallies slwoly a lower density positive value.
In summary: As a stock rises energy is created and as it falls that energy is destroyed. A buy order of 1000 shares at $10 would be cancelled by a sell order of 1000 shares, so zero energy created.

The log slope for a stock between t0 to t1 to be log(p2-p1). And for another slope to be w*log(p2-p1) where w is a time scaling factor.

introducing another equation q=m/(m+2) where m is the slope gives the resulting energy value after the
buys and sells have negated each other. If m=1 then you have 1/3*volume*average_price between a time interval as the
energy quantity. The energy constant is 1/3. If you have 9 orders in a 'trading space' consisting of 6 buys and 3 sells at $100 per order. The resulting positive enrgy is $300 of $900 total traded

(1.1) ...

(50 points) the top picture of diagram below illustrates how the above formula works



For the second diagram in the picture above the new path can be given by solving for p3. Such a solution can't be expressed closed form, but as an approximation.



(50 points) The next diagram describes the fundamenals of energy symetry as applies to a stock market index



(50 points) Another application of energy levels is if an insider decides to sell stock over some period of time.
If a stock is predicted to trade in a certain way how does the selling impact the expected price when the selling is done?

There are two versions of the 'insider selling' problem. The simpler case is described as follows
Begin by breaking energy vectors into buy and sell order components. B_o,b_o are buy orders, S_o,s_o are sell orders.

There exist two pairs of each for the time scaling factor w. The first case of insider selling will not use w.
Adding them up gives the total number of order t_o. A_v is the average volume per order, which will used in later applications.
In the earlier examples a_v can be set as one or it's not needed.







The illustration below shows how the anticipated price of a stock (p1) with a projected volume of (v1)
is changed when an insider selling (v2) shares. P2 is the new price. In this case there is no time
scaling factor. The equation for P(2) is given by:





At the bottom of the illustration we give an example of an insider selling 10^8 shares of some
stock evenly over a period of time. The stock is expected to trade 10^10 shares in this hypothetical
time period and rise from $20 to $25. The insider sells 10^8 shares, slightly increasing the volume.
Solving gives the new price target of $24.3


Funny quote:

"no practical system for calculating with numbers is able to express pi exactly" -wikipedia

Most recent paper:Algorithm for the derivation rapidly converging series for mathematical constants

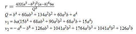
A Rapidly converging formula for the circumference of an elipse that gives log (1024/27((a+b)/(a-b))^8)
digits per term :


Then Define:


It is derived using 12th degree hypergeometric transfomation. You begin with a first degree hypergeometric function for the elliptic integral of the second kind
Then you perform two quadratic & a cubic transform on it to make it converge faster while the values V1, V2, Q, and r are still rational.
others:




















The last formula is equal to


pending work:

1. elegant zeta-like infinite series

2. cotangent integrals to approximate odd integer values of the zeta function

3. an iterative method to approximate roots of a polynomial first draft circa 2002

4. binomial sums & rapidly converging infinite series (see paper)

5. 2f1 hypergeometric transformations & formulas for values of gamma function

6. 24th degree 2f1 hypergoemtric transformation

7. primer on deriving Ramanujan type pi formulas

8. approximating complete elliptic integrals of first and second kind though hypergeometric transformations and subsequent pi approximations (quadratic and quartic modular identities)

9. cubic modular equations & accelerating a 3F2 hypergeometric function to derive extremely efficient pi approximations

10. stock market energy level equations, volume, and 'v' shaped recoveries


11. rapidly converging infinite series to calculate perimeter of an ellipse

12. Misc. binomial sums

13. Composite BBP type pi formulas

Economics & stock market insights

My Seeking Alpha Articles